문서의 이전 판입니다!
비화성도
기음과 배음에 의해 생성되는 음색(Timbre)은 기본적으로 아래와 같이 기음과 기음에 대해 정수배인 배음으로 표현된다.
하지만 이상적인 음색의 생성과정에서 기음에 대하여 정확한 정수배로 진동해야 할 배음들은 사실 정확한 정수배로 진동하지 못하는 경우가 더 많다. 그 이유는 진동체의 형태, 무게, 마찰력 등의 현실 세계의 방해 요소들이 작용하고 있기 때문이다.
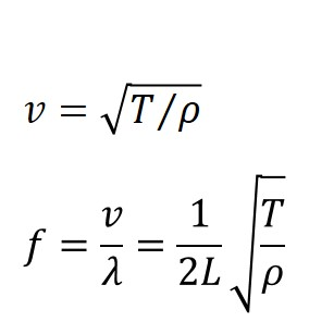
- L: 현의 길이
- ρ: 현의 선밀도
- T: 현에 걸리는 장력
스트링의 예를 들면, 이상적인 스트링의 진동은 스트링의 굵기가 없고 스트링이 위아래로 변위하여도 장력의 변화가 없는 이상적인 스트링(Ridgid body string)을 가정하고 이야기를 하지만, 현실 세계의 스트링의 진동은 스트링이 위아래로 최대 변위로 움직였을떄 장력은 높아지며, 스트링의 굵기로 인하여 스트링이 위아래로 진동하면서 전체 스트링의 길이가 미세하게 변하게 된다.
따라서 위에 있는 정확한 정수배의 배음을 만들어내는 배음 구조보다는 약간씩 부정확한 배음 구조를 만들어 내게 된다.
피아노나 기타와 같은 악기는 저음역대 스트링의 비화성도를 줄이기 위하여, 장력이 매우 높은 얇은 심선(Core String)에 무게를 추가하는 와운드 선을 감는 구조로 만들어지게 된다. 또한 심선의 장력은 유지하면서 단면적만 줄이기 위한 hex Core와 같은 방식도 사용하게 된다. 이러한 것들은 모두 실제적으로 진동하는 선의 굵기는 얇게 만들면서 선밀도를 높게 유지하여 스트링에 걸리는 장력을 높이기 위한 방법이다.
참조
[공지]회원 가입 방법
[공지]글 작성 및 수정 방법





