사용자 도구

사이트 도구


음향:industrial_standards:itu:20250825-234433.png
[홈레코딩 필독서]"모두의 홈레코딩"구매링크
가성비 있는 녹음실 찾으시나요? 리버사이드 재즈 스튜디오에서 녹음하세요!

20250825-234433.png

20250825-234433.png
날짜:
2025/08/25
파일 이름:
20250825-234433.png
포맷:
PNG
크기:
10KB
너비:
534
높이:
127
다음을 참조:
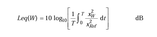
ITU-R BS.1770

이 목록은 ACL로 제한되어 있고 숨겨진 문서이기 때문에 완전하지 않을 수 있습니다.


[공지]회원 가입 방법
[공지]글 작성 및 수정 방법