LUFS 미터
ITU-R BS.1770
Algorithms to measure audio programme loudness and True-peak audio level
LUFS 미터는 소리 크기의 범위 및 True-peak를 표기 하도록 만들어진 라우드니스 미터입니다. LUFS 미터의 작동에 대한 알고리즘 및 세부 사항은 ITU-R BS.1770 에서 정의되어 있습니다.
사람이 청감상 인지하는 소리 크기, 즉 라우드니스를 수치로 최대한 비슷하게 현실화하기 위해서 K-weighted 가중치를 고려한 필터를 사용하고, RMS 값을 측정하여 dBFS로 결과를 내어서, 단위는 LUFS, 또는 LU로 표기합니다.
이름과 단위
ITU-R BS.1770은 다음과 같은 명명 규칙 및 단위 규칙을 제안합니다. 기준 레벨과 관련된 값인 Loudness Unit(1LU 는 1dB)과 같은 상대 측정 값입니다.
- LUFS: 절대값, Loudness Unit Relative to Full Scale
k-weighting
K-weighting filter는 인간의 청각 특성을 반영해 설계된 주파수 가중치 필터로, 사람이 잘 듣는 주파수(특히 1~4kHz 대역)를 강조하고, 저음과 고음 등 상대적으로 덜 민감한 영역을 감쇠시킵니다. 이 필터는 ITU-R BS.1770 표준에 따라 라우드니스(LUFS, LKFS) 측정의 핵심 요소로 사용되며, 단순한 물리적 신호 세기가 아닌 실제 사람이 느끼는 음량을 더 정확하게 평가할 수 있게 해줍니다.
Integrated Loudness
Integrated Loudness는 곡의 시작부터 끝까지, 즉 전체 재생 구간에 걸쳐 소리 크기의 평균을 계산한 값을 LUFS(라우드니스 유닛 풀 스케일) 단위로 표기합니다. 이 값은 곡의 전반적인 소리 크기(라우드니스)를 대표하며, 실제로 사람이 곡을 들을 때 느끼는 평균적인 볼륨에 가까운 수치입니다. 게이트 알고리즘이 적용되어 있어, 무음 구간이나 매우 조용한 부분은 측정에서 제외됩니다. 예를 들어, 곡의 클라이맥스 부분만 측정하면 평소보다 훨씬 큰 값이 나올 수 있으므로, 전체 구간을 기준으로 측정하는 것이 중요합니다.
Short-Term Loudness
Short-Term Loudness는 곡의 특정 구간(보통 3초) 동안의 평균 소리 크기를 매 1초마다 표기한 값입니다. 이 방식은 곡의 중간중간, 예를 들어 인트로, 벌스, 코러스 등에서 소리의 크기가 어떻게 변하는지 확인할 때 유용합니다. 최고값이 미터의 왼쪽에 표기되며, 곡의 다이내믹 변화나 균형을 체크할 때 참고할 수 있습니다.
즉, 곡 전체의 평균(Integrated)과 달리, 짧은 구간에서의 음량 변화를 실시간으로 볼 수 있습니다.
Momentary Loudness
Momentary Loudness는 400ms(0.4초) 동안의 순간적인 소리 크기를 100ms마다 측정한 값의 최대값을 표기합니다. 이 값은 아주 짧은 시간 동안의 음량 변화를 파악할 때 사용됩니다. 예를 들어, 드럼의 강한 한 박, 신스의 짧은 하이라이트 등 순간적으로 소리가 커지는 부분을 측정할 때 유용합니다. Momentary Loudness는 전체 곡의 평균이나 3초 단위의 Short-Term과 달리, 순간순간의 소리 크기를 빠르게 확인할 수 있습니다.
Loudness Range
Loudness Range(라우드니스 레인지, LRA)는 곡 전체에서 소리가 가장 큰 부분과 가장 조용한 부분 사이의 차이를 LU(라우드니스 유닛)로 표기합니다. 이 값은 곡의 다이내믹 레인지를 의미하며, 곡이 얼마나 다양한 소리 크기를 가지고 있는지 알 수 있습니다. 측정 시, 가장 조용한 부분의 상위 10%와 가장 큰 부분의 상위 5%는 제외되어, 극단적인 값이 결과에 영향을 주지 않도록 합니다.
True-peak
디지털에서는 샘플 데이터가 Peak 값 이하라고 하더라도, 파형 자체는 Peak를 충분히 넘을 수 있습니다. 만약 이것이 D-A 컨버터를 거쳐 아날로그 파형으로 재생된다면, Peak 값을 넘는 신호가 발생할 수 있습니다. 이 경우 미터로는 Peak가 아니지만, 들리는 소리는 Peak로 인한 클리핑이 발생하는 모순이 생깁니다.
따라서 샘플 데이터의 Peak 값을 기반으로 실제 아날로그 파형으로 변할 때의 True-peak 값을 유추하여 표기하는 것을 True-peak라고 하며, 단위는 dBTP를 사용합니다.
True-peak의 측정 방법
Reference
ITU-R BS.1770(실제 문서)
Algorithms to measure audio programme loudness and true-peak audio level
서문
무선통신 분야의 역할은 모든 무선통신 서비스(위성 서비스를 포함)의 합리적이고, 공정하며, 효율적이고, 경제적인 무선 주파수 스펙트럼 이용을 보장하는 것이며, 이에 기반하여 주파수 범위의 제한 없이 연구를 수행하고 이를 토대로 권고안을 채택하는 것이다. 무선통신 분야의 규제 및 정책 기능은 세계 및 지역 무선통신 회의와 무선통신 총회에서 수행되며, 이에 대해 연구 그룹이 지원을 제공한다.
범위
키워드
3/2 멀티채널 사운드 시스템, 고급 사운드 시스템, 라우드니스, 트루피크 신호 레벨
추가로,
권고한다
추가 권고
- Annex 1, 3, 4에 명시된 알고리즘보다 성능이 현저히 향상된 새로운 라우드니스 알고리즘이 나타날 경우, 본 권고를 업데이트할 필요성에 대해 고려할 것;
Annex 1
Specification of the objective multichannel loudness measurement algorithm
본 부록은 멀티채널 라우드니스 측정 모델링 알고리즘을 명세한다.
알고리즘은 네 단계로 구성된다:
- 각 채널의 평균 제곱 계산;
- 400ms 블록 게이팅 (75% 중첩), 여기서 두 개의 임계값이 사용된다:
- 첫 번째는 −70 LKFS;
그림 1은 알고리즘의 여러 구성 요소들에 대한 블록 다이어그램을 보여준다. 알고리즘 설명을 돕기 위해 신호 흐름 경로의 여러 지점에 라벨이 부착되어 있다. 블록 다이어그램은 다섯 개 주요 채널(좌, 중앙, 우, 좌서라운드, 우서라운드)의 입력을 나타내며, 이는 한 개에서 다섯 개 채널을 포함하는 프로그램 모니터링을 허용한다. 프로그램이 다섯 채널 미만일 경우 일부 입력은 사용되지 않는다. 저주파 효과(LFE) 채널은 측정에서 제외된다.
알고리즘의 첫 단계는 신호에 대해 2단계 사전 필터링4)을 적용한다. 사전 필터링의 첫 번째 단계는 머리를 강체 구(sphere)로 모델링하여 머리의 음향 효과를 반영한다. 이 단계의 주파수 응답은 그림 2에 나타나 있다.
사전 필터의 1단계는 그림 3에 나타난 필터로 정의되며, 계수는 표 1에 명시되어 있다.
이 필터 계수는 48 kHz 샘플링 속도에 해당한다. 다른 샘플링 속도에서 구현할 경우, 해당 샘플링 속도에 맞게 동일한 주파수 응답을 제공하도록 계수 값을 달리 선택해야 한다. 이 계수 값들은 사용 가능한 하드웨어의 내부 정밀도 때문에 양자화되어야 할 수도 있다. 테스트 결과 알고리즘 성능은 이 계수 값들의 작은 변화에 민감하지 않은 것으로 나타났다. 사전 필터의 두 번째 단계는 그림 4에 나타난 단순한 하이패스 필터를 적용한다. 이 단계의 가중 곡선은 그림 3에 나타난 것처럼 2차 필터로 명시되며, 계수는 표 2에 명시되어 있다. 이 필터 계수 역시 48 kHz 샘플링 속도에 해당하며, 다른 샘플링 속도에서는 동일한 주파수 응답을 위해 다른 계수가 필요하다.
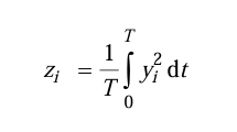
여기서 측정 간격 T 내에 필터링된 입력 신호의 평균 제곱값, 즉 파워는 다음과 같이 측정된다:
여기서 yi는 위에서 설명한 2단계 사전 필터를 통과한 입력 신호이며, i∈I이고 I={L,R,C,Ls,Rs}, 즉 입력 채널들의 집합이다. 측정 구간 T 동안의 라우드니스는 다음과 같이 정의된다:
여기서 Gi는 개별 채널에 대한 가중치 계수이다. 게이티드 라우드니스 측정을 계산하기 위해, 측정 구간 T는 중첩되는 게이팅 블록 간격들의 집합으로 나뉜다. 게이팅 블록은 인접한 오디오 샘플들의 집합이며, 길이는 가장 가까운 샘플 단위로 400 ms(Tg=400 ms)이다. 각 게이팅 블록의 중첩 비율은 게이팅 블록 기간의 75%여야 한다. 측정 구간은 반드시 게이팅 블록이 끝나는 시점에서 종료되어야 하며, 측정 구간 끝에 불완전한 게이팅 블록이 있을 경우 이는 사용하지 않는다. 측정 구간 T 내의 i번째 입력 채널의 j번째 게이팅 블록의 파워(평균 제곱값)는 다음과 같다:
j번째 게이팅 블록 라우드니스는 다음과 같이 정의된다:
게이팅 임계값 Γ에 대해, 게이팅 블록 라우드니스가 임계값을 초과하는 게이팅 블록 지수들의 집합 Jg ={j:lj >Γ}가 정의된다. Jg 의 원소 개수는∣Jg∣이다. 측정 구간 T의 게이티드 라우드니스는 다음과 같이 정의된다:
게이티드 측정은 두 단계 과정으로 수행된다. 먼저 절대 임계값을 사용하고, 그 다음 상대 임계값을 사용한다. 절대 임계값 이하의 게이팅 블록들은 상대 임계값 계산에 사용되지 않는다. 상대 임계값 Γr 는 절대 임계값 Γa=−70 LKFS를 사용하여 라우드니스를 측정하고, 그 결과에서 10을 뺌으로써 계산된다. 즉:
여기서:
게이팅된 라우드니스는 다음과 같이 Γr 를 사용하여 계산할 수 있다:
여기서:
이 측정에서 생성되는 주파수 가중치는 사전 필터에 의한 것으로, 1단계 필터는 머리의 음향 효과를 보상하기 위해 설계된 필터이며, 2단계 필터는 RLB 가중치 필터이다. 이 두 필터의 결합은 K-가중치로 지정된다. 식 (2)에서 계산된 라우드니스 값 뒤에는 LKFS라는 표시를 붙여야 한다. 이 표시는 Loudness, K-weighted, nominal full scale 대비 상대 단위를 의미한다. LKFS 단위는 데시벨과 동등하며, 신호의 레벨이 1 dB 증가하면 라우드니스 측정값도 1 LKFS 만큼 증가한다. 만약 0 dB FS, 1 kHz (정확히는 997 Hz, 참고 사항 1과 2 참조) 사인파가 좌, 중앙 또는 우 채널 입력에 적용된다면, 표시되는 라우드니스는 −3.01 LKFS가 된다.
이 알고리즘은 방송 콘텐츠에 전형적인 오디오 프로그램에 대해 효과적인 것으로 입증되었으나, 일반적으로 순수 음(pure tones)의 주관적 라우드니스를 추정하는 데 적합하지 않다는 점을 주목할 필요가 있다.
이는 순수 음에 대해서는 알고리즘이 라우드니스를 과소평가하는 경향이 있기 때문이다.
부록 1 부속서 1 (참고용)
본 부속서는 오디오 신호의 주관적 라우드니스를 객관적으로 측정하기 위해 새로 개발된 알고리즘을 설명한다. 이 알고리즘은 모노, 스테레오 및 멀티채널 신호의 라우드니스를 정확하게 측정하는 데 사용할 수 있다. 제안된 알고리즘의 주요 이점은 매우 단순하여, 매우 낮은 비용으로 구현할 수 있다는 점이다. 이 부속서에서는 또한 알고리즘 성능 평가를 위해 사용된 주관적 데이터베이스를 형성하기 위해 진행된 공식 주관적 시험 결과도 설명한다.
1. 서론
오디오 신호의 주관적 라우드니스를 측정하고 제어해야 하는 많은 응용 분야가 있다. 예로는 텔레비전과 라디오 방송 응용 분야가 있는데, 여기서는 오디오 자료의 성격과 내용이 자주 변화한다. 이러한 응용 분야에서는 오디오 콘텐츠가 음악, 음성, 음향 효과 또는 이들의 조합 사이를 계속 전환할 수 있다. 이러한 프로그램 자료 내용의 변화는 주관적 라우드니스에 큰 변화를 초래할 수 있다. 게다가 다양한 형태의 다이나믹스 프로세싱이 신호에 자주 적용되며, 이는 신호의 인지된 라우드니스에 상당한 영향을 미칠 수 있다. 물론, 라우드니스 문제는 다이나믹스 프로세싱이 일반적으로 녹음의 인지된 라우드니스를 극대화하기 위해 사용되는 음악 산업에서도 매우 중요하다. 최근 몇 년간 Radiocommunication Working Party 6P에서는 방송 응용을 위한 전형적 프로그램 자료의 인지 라우드니스를 객관적으로 측정하는 수단을 규명하기 위한 노력이 계속되어 왔다. ITU-R의 첫 단계 노력은 독점적으로 객관적 모노포닉 라우드니스 알고리즘을 검토했으며, 가중 평균 제곱 측정인 Leq(RLB)가 모노포닉 신호에 대해 최상의 성능을 제공함이 나타났다 [A1-2]. 방송 응용을 위해 모노, 스테레오, 멀티채널 신호 모두를 처리할 수 있는 라우드니스 미터가 필요하다는 점이 널리 인정되고 있다. 본 부속서는 모노, 스테레오, 멀티채널 오디오 신호에서 성공적으로 작동하는 새로운 라우드니스 측정 알고리즘을 제시한다. 제안된 알고리즘은 Leq(RLB) 알고리즘의 직관적인 확장에 기반한다. 더욱이 새 멀티채널 알고리즘은 모노포닉 Leq(RLB) 알고리즘의 매우 낮은 계산 복잡도를 유지한다.
2. 배경
ITU-R 연구의 첫 단계에서 대표적 모노포닉 프로그램 자료의 라우드니스 지각을 검토하기 위한 주관적 시험 방법이 개발되었다 [A1-2]. 이 주관적 시험은 전 세계 5개 장소에서 이루어졌으며, 라우드니스 측정 알고리즘 성능 평가에 사용할 주관적 데이터베이스를 만들기 위한 것이었다. 시험 참가자들은 다양한 모노포닉 오디오 시퀀스의 라우드니스를 기준 시퀀스와 맞추었다. 오디오 시퀀스는 실제 방송 자료(텔레비전 및 라디오)에서 추출되었다. 이 시험과 더불어, 캐나다 통신 연구 센터의 오디오 지각 실험실에서 평가를 위해 7개 단체가 제출한 10개의 상업용 모노포닉 라우드니스 미터/알고리즘이 검토되었다. 또한 Soulodre는 성능 기준선을 제공하기 위해 두 가지 기본 라우드니스 알고리즘을 추가로 제출했다 [A1-2]. 이 두 객관적 측정법은 간단한 주파수 가중 함수와 평균 제곱 측정 블록으로 구성된다. 두 측정법 중 하나인 Leq(RLB)는 재설계한 저주파 B 곡선(RLB)이라는 하이패스 주파수 가중곡선을 사용한다. 다른 측정법인 Leq는 단순한 비가중 평균 제곱 측정법이다. 그림 5는 Leq(RLB) 라우드니스 미터에 대한 ITU-R 초기 연구 결과를 보여준다. 가로축은 주관적 데이터베이스에서 파생된 상대 주관적 라우드니스를 나타내고, 세로축은 Leq(RLB) 측정법이 예측한 라우드니스를 나타낸다. 그래프의 각 점은 시험 중 하나의 오디오 테스트 시퀀스 결과를 나타낸다. 빈 원은 음성 기반 오디오 시퀀스를, 별표는 비음성 시퀀스를 대표한다. 데이터 점들이 대각선 주변에 밀집해 있어 Leq(RLB) 미터의 매우 우수한 성능을 나타낸다. Leq(RLB)는 평가된 모든 미터 중 가장 좋은 성능을 보였으며(통계적 의미 내에서는 일부 심리음향 기반 미터도 비슷한 성능을 보임), Leq 또한 RLB만큼 거의 좋은 성능을 나타냈다. 이 결과는 전형적인 모노포닉 방송 자료에 대해 상세한 지각 모델을 포함할 수 있는 복잡한 측정법에 비해 간단한 에너지 기반 라우드니스 측정법도 충분히 견고함을 시사한다.
3. Leq(RLB) 알고리즘의 설계
Leq(RLB) 라우드니스 알고리즘은 매우 단순하게 설계되었다. Leq(RLB) 알고리즘의 블록 다이어그램이 그림 6에 나타나 있다. 이 알고리즘은 하이패스 필터와 그 다음에 시간에 대한 에너지를 평균하는 수단으로 구성된다. 필터의 출력은 에너지를 합산하고 시간에 대해 평균을 계산하는 처리 블록으로 전달된다. 이 필터의 목적은 신호 스펙트럼 내용에 대해 인지적으로 관련된 가중치를 제공하는 것이다. 라우드니스 측정에 이 기본 구조를 사용하는 장점 중 하나는 모든 처리가 매우 낮은 계산량을 요구하는 간단한 시간 영역 블록으로 수행될 수 있다는 점이다.
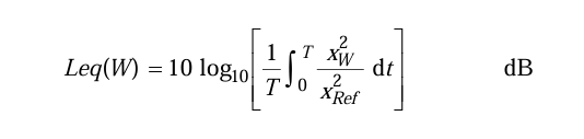
그림 6에 나타난 Leq(RLB) 알고리즘은 단순히 등가음압 수준(Leq) 측정의 주파수 가중 버전이다. Leq는 다음과 같이 정의된다:
여기서:
Leq(W)에서 W 기호는 주파수 가중치를 나타내며, 이 경우에는 수정된 저주파 B-곡선(RLB)을 의미한다.
4. 주관적 시험
잠재적인 멀티채널 라우드니스 측정법을 평가하기 위해서는 주관적 데이터베이스를 구축하기 위한 공식적인 주관적 시험을 실시할 필요가 있었다. 잠재적 라우드니스 측정 알고리즘은 이후 주관적 시험 결과를 예측하는 능력을 기반으로 평가될 수 있다. 해당 데이터베이스는 모노, 스테레오 및 멀티채널 프로그램 자료의 광범위한 범위에 대해 인지된 라우드니스 등급을 제공했다. 시험에 사용된 프로그램 자료는 전 세계의 실제 텔레비전 및 라디오 방송뿐만 아니라 CD 및 DVD에서도 가져왔다. 테스트 시퀀스에는 음악, 텔레비전 및 영화 드라마, 스포츠 이벤트, 뉴스 방송, 음향 효과 및 광고가 포함되었다. 시퀀스에는 여러 언어의 음성 구간도 포함되어 있었다.
4.1 주관적 시험 셋업
주관적 시험은 라우드니스 매칭 작업으로 구성되었다. 시험 대상자들은 다양한 전형적인 프로그램 자료를 듣고, 각 시험 항목의 레벨을 참조 신호와 인지된 라우드니스가 일치할 때까지 조절하였다(그림 7 참고). 참조 신호는 항상 60 dBA 레벨로 재생되었는데, 이는 Benjamin이 실제 가정에서 텔레비전 시청 시 전형적인 청취 레벨로 보고한 값이다[A1-1].
호주 방송 공사(Australian Broadcasting Corporation)가 개발하고 기여한 소프트웨어 기반 멀티채널 주관적 시험 시스템은 청취자가 시험 항목 간에 즉시 전환하고 각 항목의 레벨(라우드니스)을 조절할 수 있도록 하였다. 시험 소프트웨어 스크린샷은 그림 8에 나와 있다. 시험 항목의 레벨은 0.25 dB 단위로 조절할 수 있었다. “1”로 표시된 버튼을 선택하면 참조 신호에 접근할 수 있으며, 참조 신호의 레벨은 고정되어 있었다.
컴퓨터 키보드를 사용하여, 피실험자는 특정 시험 항목을 선택하고 그 레벨을 참조 신호와 라우드니스가 일치할 때까지 조절하였다. 피실험자는 적절한 키를 선택하여 어느 시험 항목이든 즉시 전환할 수 있었다. 시퀀스들은 시험 동안 계속 반복 재생되었다. 소프트웨어는 피실험자가 설정한 각 시험 항목의 이득 설정값을 기록하였다. 따라서 주관적 시험은 각 시험 시퀀스의 라우드니스가 참조 시퀀스와 일치하도록 하는 데 필요한 이득값(데시벨) 집합을 산출하였다. 이는 각 시험 항목의 상대 라우드니스를 직접 결정할 수 있게 하였다. 정식 블라인드 테스트를 실시하기 전에, 각 피실험자는 시험 소프트웨어와 실험 과제에 익숙해지는 훈련 세션을 거쳤다. 많은 시험 항목이 음성과 기타 소리(예: 음악, 배경 소음 등)의 혼합물을 포함하고 있었기 때문에, 피실험자들은 신호의 음성 성분뿐 아니라 전체 신호의 라우드니스를 맞추도록 특별히 지시받았다. 정식 블라인드 시험 동안 각 피실험자에게 제시된 시험 항목의 순서는 무작위로 결정되었다. 따라서 두 명의 피실험자가 동일한 순서로 시험 항목을 받는 경우는 없었다. 이 조치는 순서 효과에 의한 어떠한 편향 가능성도 제거하기 위해서 수행되었다.
4.2 주관적 데이터베이스
제안된 알고리즘의 성능을 평가하기 위해 사용된 주관적 데이터베이스는 실제로 세 개의 별도 데이터셋으로 구성되어 있다. 이 데이터셋들은 수년에 걸쳐 수행된 세 개의 독립적인 주관적 시험에서 만들어졌다. 첫 번째 데이터셋은 96개의 모노포닉 오디오 시퀀스의 인지된 라우드니스를 맞추는 원래 ITU-R 연구의 결과로 구성되었다. 이 데이터셋을 위해, 전 세계 다섯 개 장소에서 주관적 시험이 수행되어 총 97명의 청취자가 참여하였다. ITU-R Radiocommunication WP 6P SRG3의 세 명의 패널 멤버들이 시험 시퀀스와 참조 항목을 선택하였다. 이 실험에서 참조 신호는 영어 여성 음성이었으며, 시퀀스들은 청취자 바로 앞에 배치된 단일 스피커를 통해 재생되었다. 원래 ITU-R 모노포닉 연구 이후, 일부 알고리즘 지지자들은 주관적 시험에 사용된 신호의 범위와 유형이 충분히 포괄적이지 않다고 추측하였다. 그리고 이것이 단순한 Leq(RLB) 에너지 기반 알고리즘이 다른 모든 알고리즘을 능가한 이유라고 추정하였다. 이 문제를 해결하기 위해, 지지자들은 추가 주관적 시험을 위한 새로운 오디오 시퀀스를 제출하도록 요청받았다. 이들은 Leq(RLB) 알고리즘에 대해 보다 도전적인 것으로 여겨지는 모노포닉 시퀀스를 제출하도록 권장받았다. 그러나 계량기 지지자 중 두 명만이 새로운 시퀀스를 제출하였다. 이 새로운 시퀀스를 사용하여, 캐나다 통신 연구 센터의 오디오 지각 실험실에서 공식적인 주관적 시험이 수행되었다. 총 20명의 피실험자가 96개 모노포닉 시퀀스에 대해 라우드니스 평가를 제공하였다. 이 시험은 첫 번째 데이터셋 생성에 사용된 동일한 주관적 방법론과 동일한 참조 신호를 사용하였다. 세 번째 데이터셋은 144개의 오디오 시퀀스에 대한 라우드니스 평가로 구성되었다. 시험 시퀀스는 48개의 모노포닉 항목, 48개의 스테레오 항목, 48개의 멀티채널 항목으로 구성되었다. 더욱이, 모노포닉 항목의 절반은 중심 채널(모노)을 통해 재생되었고, 나머지 절반은 좌우 스피커(듀얼 모노)를 통해 재생되었다. 이는 모노포닉 신호를 청취하는 두 가지 다른 방법을 반영하기 위함이다. 이 시험에서 참조 신호는 스테레오 분위기와 저수준 배경 음악이 포함된 영어 여성 음성이었다. 총 20명의 피실험자가 이 시험에 참여했으며, 시험에는 권고 ITU-R BS.775에 명시되고 그림 9에 나타난 스피커 구성 방식이 사용되었다.
첫 번째와 두 번째 데이터셋은 모노포닉 시험 시퀀스로만 제한되어 있었기 때문에 이미징은 고려 사항이 아니었다. 스테레오 및 멀티채널 시퀀스를 포함하는 세 번째 데이터셋에서는 이미징이 중요한 고려 사항이었으며, 이를 다루어야 했다. 시퀀스 내의 이미징과 분위기가 시퀀스의 인지된 라우드니스에 상당한 영향을 미칠 수 있다고 여겨졌다. 따라서 스테레오 및 멀티채널 시퀀스는 다양한 이미징 스타일(예: 중앙 팬 대 좌우 강제, 앞쪽 소스 대 주변 소스)과 분위기 정도(예: 건조한 정도 대 잔향 있는 정도)를 포함하도록 선택되었다. 모노, 듀얼 모노, 스테레오 및 멀티채널 신호의 라우드니스를 동시에 맞춰야 했기 때문에, 이 시험은 모노 신호로만 제한된 이전 데이터셋보다 본질적으로 더 어려웠다. 이러한 어려움은 다양한 이미징 스타일과 분위기 양의 차이로 더욱 심화되었다. 이러한 요인들로 인해 피실험자들이 과중한 과제에 직면할 수 있다는 우려가 있었다. 다행히도 예비 시험에서는 이 과제가 관리 가능함을 시사했으며, 실제로 20명의 피실험자는 일관된 결과를 제공할 수 있었다.
5. 멀티채널 라우드니스 알고리즘 설계
앞서 언급한 바와 같이, Leq(RLB) 알고리즘은 모노포닉 신호에 적용되도록 설계되었으며, 이전 연구에서 이 작업에 매우 성공적임이 입증되었다. 멀티채널 라우드니스 알고리즘 설계는 몇 가지 추가적인 과제를 야기한다. 성공적인 멀티채널 알고리즘에 대한 핵심 요구사항은 모노, 듀얼 모노, 스테레오 신호에도 잘 작동해야 한다는 점이다. 즉, 이러한 포맷들은 멀티채널 신호의 특수한 경우로 간주되어야 한다(매우 일반적인 경우임에도 불구하고). 본 연구에서는 멀티채널 신호가 표준 권고 ITU-R BS.775 5.1 채널 구성에 부합한다고 가정한다. LFE 채널은 고려하지 않는다. 멀티채널 라우드니스 미터에서는 각 개별 오디오 채널의 라우드니스를 모노포닉 Leq(RLB) 알고리즘으로 독립적으로 측정한다(그림 10 참조). 하지만 Leq(RLB) 측정을 하기 전에 각 채널마다 프리필터링이 적용된다.
프리필터의 목적은 머리가 들어오는 신호에 미치는 음향 효과를 반영하기 위함이다. 여기서 머리는 단단한 구체로 모델링된다. 동일한 프리필터가 각 채널에 적용된다. 산출된 라우드니스 값은 신호가 도달하는 각도에 따라 가중치(Gi)를 부여받고, 선형 영역에서 합산되어 복합 라우드니스 측정 값을 제공한다. 이 가중치는 청취자의 뒤쪽에서 도달하는 소리가 앞쪽에서 도달하는 소리보다 더 크게 인지될 수 있음을 반영하기 위해 사용된다. 그림 10의 “프리필터”와 “RLB 필터”의 조합은 부속서 1 본문에 명시된 바와 같이 K-가중치라고 한다. 제안된 멀티채널 라우드니스 알고리즘의 주요 장점 중 하나는 단순성이다. 이 알고리즘은 시간 영역에서 저렴한 하드웨어로 쉽게 구현할 수 있는 매우 기본적인 신호 처리 블록들로만 구성되어 있다. 또 다른 주요 장점은 확장성이다. 각 채널에 적용되는 처리가 동일하므로, 1채널에서 N채널까지 어떤 수의 채널이든 수용할 수 있는 미터를 구현하는 것이 매우 간단하다. 또한, 개별 채널의 기여도가 신호 레벨이 아니라 라우드니스 값으로서 합산되므로, 알고리즘은 채널 간 위상이나 상관계수에 의존하지 않는다. 이로 인해 제안된 라우드니스 측정법은 훨씬 더 범용적이고 견고하다.
6. 멀티채널 알고리즘 평가
세 개 데이터셋에서 사용된 336개의 오디오 시퀀스는 제안된 멀티채널 알고리즘을 통해 처리되었으며, 예상된 라우드니스 등급이 기록되었다. 이 과정을 통해 알고리즘의 전체 성능은 예상 등급과 공식 주관적 시험에서 얻은 실제 주관적 등급 간의 일치도를 바탕으로 평가될 수 있었다. 그림 11, 12, 13은 세 데이터셋에 대한 제안된 라우드니스 미터의 성능을 나타낸다. 각 그림에서 가로축은 데이터셋 내 각 오디오 시퀀스의 주관적 라우드니스를 제공하며, 세로축은 제안된 라우드니스 미터가 예측한 객관적 라우드니스를 나타낸다. 그래프상의 각 점은 개별 오디오 시퀀스에 대한 결과를 나타낸다. 완벽한 객관적 알고리즘이라면 모든 데이터 점이 원점을 지나 기울기 1인 대각선 상에 위치할 것이다(그림에 표시된 바와 같이).
그림 11에서 제안된 멀티채널 라우드니스 알고리즘이 첫 번째(모노포닉) 데이터셋의 결과를 매우 잘 예측하는 것을 확인할 수 있다. 주관적 라우드니스 평가와 객관적 라우드니스 측정 간의 상관계수는 r=0.979이다. 그림 12에서 볼 수 있듯이, 두 번째 데이터셋에 대한 주관적 라우드니스 평가와 객관적 라우드니스 측정 간의 상관계수도 매우 우수하며 r=0.985이다. 흥미로운 점은 이 데이터셋에서 약 절반가량의 시퀀스가 음악이었다는 것이다.
그림 13은 모노, 듀얼 모노, 스테레오 및 멀티채널 신호를 포함하는 세 번째 데이터셋의 결과를 보여준다. 그림 13과 14에 포함된 멀티채널 결과는 지정된 알고리즘에 대한 것이지만, 서라운드 채널 가중치가 최종 사양인 1.5 dB 대신 원래 제안인 4 dB로 설정된 것이다. 4.0 dB에서 1.5 dB로의 변경이 결과에 큰 영향을 미치지 않는 것으로 확인되었다. 다시 한 번, 알고리즘의 성능은 매우 우수하며 상관계수는 r=0.980이다. 336개 오디오 시퀀스로 구성된 전체 주관적 데이터베이스에 대한 알고리즘 성능을 살펴보는 것이 유용하다. 따라서 그림 14는 세 개 데이터셋의 결과를 결합한 것이다. 전체 주관적 데이터베이스에 걸쳐 매우 우수한 성능을 보이며, 전체 상관계수는 r=0.977이다.
이 평가 결과는 Leq(RLB) 라우드니스 측정법을 기반으로 하는 멀티채널 라우드니스 측정 알고리즘이 주관적 데이터베이스의 336개 시퀀스에 대해 매우 우수한 성능을 발휘함을 나타낸다. 주관적 데이터베이스는 음악, 텔레비전 및 영화 드라마, 스포츠 이벤트, 뉴스 방송, 음향 효과 및 광고 등 광범위한 프로그램 자료를 포함하고 있다. 또한 여러 언어의 음성 구간도 시퀀스에 포함되어 있다. 더 나아가, 결과는 제안된 라우드니스 미터가 모노, 듀얼 모노, 스테레오뿐만 아니라 멀티채널 신호에서도 잘 작동함을 입증한다.
References
- [A1-1] BENJAMIN, E. (October, 2004) Preferred Listening Levels and Acceptance Windows for Dialog Reproduction in the Domestic Environment, 117th Convention of the Audio Engineering Society, San Francisco, Preprint 6233.
- [A1-2] SOULODRE, G.A. (May, 2004) Evaluation of Objective Loudness Meters, 116th Convention of the Audio Engineering Society, Berlin, Preprint 6161.
Annex 2
Guidelines for accurate measurement of “true-peak” level
이 부속서는 단일 채널 선형 PCM 디지털 오디오 신호 내에서 실제 피크 레벨을 추정하는 알고리즘을 설명한다. 다음 설명은 48 kHz 샘플링 주파수를 전제로 한다. 실제 피크 레벨은 연속 시간 도메인에서 신호 파형의 최대 (양수 또는 음수) 값이며, 이 값은 48 kHz 시간 샘플링 도메인의 최대 샘플 값보다 더 클 수 있다.
1. 요약
2. Block diagram
3. 상세 설명
첫 번째 단계는 12.04 dB(2비트 시프트)의 감쇠를 가하는 것이다. 이 단계의 목적은 후속 신호 처리에서 정수 연산을 사용할 경우를 대비한 여유 공간을 제공하는 것이다. 부동 소수점 계산 시에는 이 단계가 필요하지 않다. 4배 오버샘플링 필터는 신호 샘플링 주파수를 48 kHz에서 192 kHz로 증가시킨다. 이 고샘플링 신호는 오디오 샘플로 표현된 실제 파형을 더 정확히 나타낸다. 더 높은 샘플링 주파수와 오버샘플링 비율이 선호된다(이 부속서 부록 1 참조). 더 높은 샘플링 주파수를 가진 입력 신호는 상대적으로 더 적은 오버샘플링이 필요하다(예: 96 kHz 신호는 2배 오버샘플링으로 충분). 이 요구사항을 만족하는 한 세트 필터 계수(차수 48, 4상, FIR 보간 필터)는 다음과 같다:
샘플의 절대값은 음수 값 샘플을 반전시켜 취한다; 이 시점에서 신호는 단극성이며, 음수 값이 같은 크기의 양수 값으로 대체된다. 감쇠, 오버샘플링, 필터링, 절대값 처리의 네 단계를 거친 후의 결과는 원래 샘플 값과 동일한 도메인(예: 24비트 정수)에 속하는 수치이다. 이후에 초기 12.04 dB 감쇠를 보상할 필요가 있다. 이 보상은 전체 처리의 이득을 정상화하여 1배가 되게 한다. 감쇠된 값을 12.04 dB(2비트 왼쪽 시프트) 증폭하는 것은, 일반적으로 원래 형식의 전체 스케일 범위보다 높은 값을 표현할 수 있는 수치 형식으로의 변환을 요구할 수 있다. 부동 소수점 형식으로 계산 단계를 수행하면 이 요구를 충족시킨다. 결과를 증폭하는 대신, 미터 스케일을 적절히 보정하는 방법도 있다. 이 가이드라인을 따르고 최소 192 kHz 오버샘플링 샘플링 레이트를 사용하는 미터는 결과를 dB TP 단위로 표시해야 하며, 결과를 로그 스케일로 변환한다. 이는 감쇠, 오버샘플링, 필터링, 절대값 처리된 신호의 “20log10”을 계산하고 12.04 dB를 더하는 것으로 달성할 수 있다. “dB TP” 표기는 100% 풀 스케일 대비 실제 피크 측정을 나타내는 데시벨 단위임을 의미한다.
대표적인 LUFS 미터들
플러그인, 외장 하드웨어 등으로 수많은 LUFS 미터가 시중에 나와있다. 그 중에서 대표적인 것 몇 가지만 소개 한다. Cubase Pro 에 내장되어있는 Supervision에도 LUFS 미터가 내장되어 있다.
[공지]회원 가입 방법
[공지]글 작성 및 수정 방법








































